Cell City Drawing

Are you looking for the best Cell City Drawing for your personal blogs, projects or designs, then ClipArtMag is the place just for you. We have collected 40+ original and carefully picked Cell City Drawing in one place. You can find more Cell City Drawing in our search box. Feel free to download, share and use them!

ADVERTISEMENT

Cliparts for Personal Use

Views: 1954 Cliparts: 40 Downloads: 1 Likes: 0

720x694 Cell Drawing Unlabeled For Free Download
1300x1300 Radio Drawing Cell Phone Tower For Free Download
236x305 Best Cell Theory Images Science Lessons, High School Biology
1885x1716 City Drawing Halls For Free Download
236x236 Best Cell Analogy Images School, Science Classroom, Science
482x482 Cities That Show You What The Future Will Look Like Wired
1600x1020 Agropolitanstudio Anam,new City Dynamic Waterfront
700x560 Student Portfolio
569x569 Amazing Customized Finger Ring Stand Hand Drawing
569x569 Cell Phone Case Compatible Samsung Galaxy
569x569 Official Pixie Cold City Indian Goddess Soft Gel Case
1200x1200 Rong Fa New York City In Cartoon Style Colorful
400x400 Ark City Middle On Twitter Mrs Klenda's Class Observing Cell
1024x1044 Avenue Clipart Of Denver Colorado City Skyline With Text
160x228 Cell Junctions
320x320 Cell Proliferation
1000x514 Cheryl Baxter Cellular Canopy
200x200 Cyber Crime Cell Photos, Ghaziabad City, Ghaziabad Pictures
225x300 Download Wallpaper Couple, Art, Drawing, Love, City
256x256 Fcc Registered Cell Phone And Antenna Towers In Elizabethtown
320x320 Stimulates Proliferation Of Spermatogonia Top Panel Cell
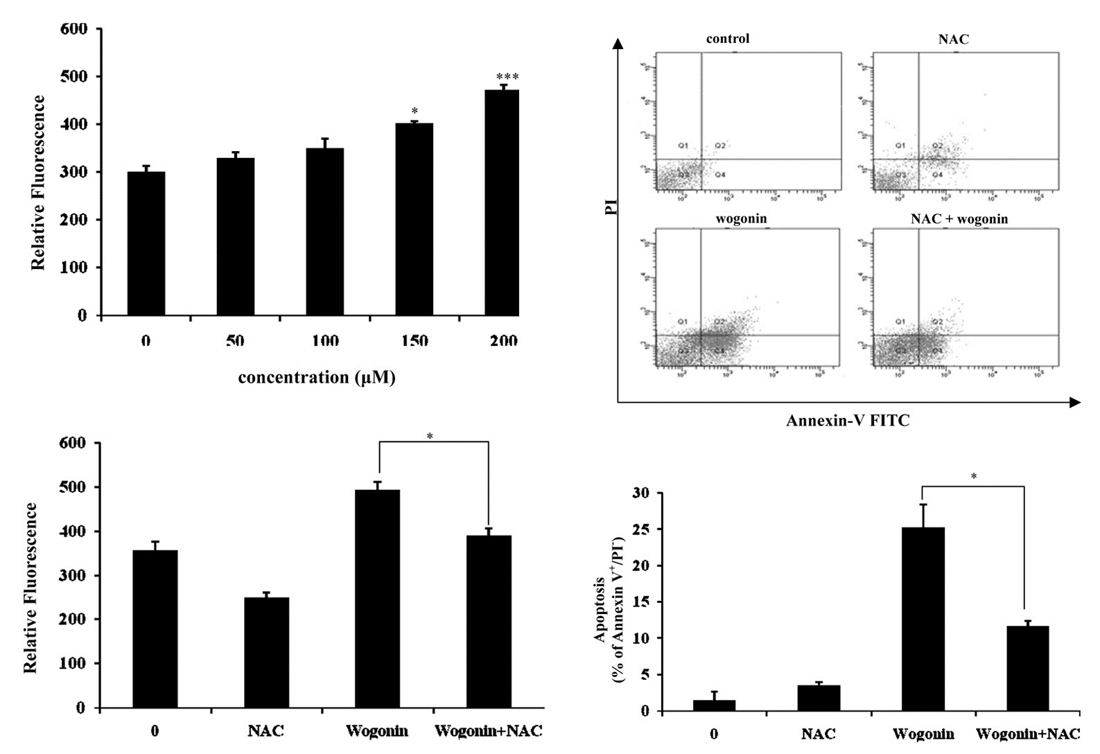
1587x1088 Fig The Effect Of Wogonin On The Production Of Ros
720x720 Google Lens
300x321 Grid Plan
688x535 Hiv Structure Function
640x640 Hand Painted Cartoon City Man Cell Phone, Cartoon City, Cartoon
1200x900 How To Scale A Drawing Steps
669x413 Human Cell Lines A Promising Alternative For Recombinant Fix
550x454 Ijms Special Issue Plant Cell Wall Proteins And Development
400x400 Mmu Science And Engineering On Twitter Ever Wondered What Fuel
385x385 Magnetic Car Holder Rotation Universal Hand Drawing London City
800x800 Merry Christmas Happy New Year Gifts Soft Tpu Rubber Silicone
340x334 Mitochondrion
873x648 Nih To Build A Detailed Map Of Cells Within The Human Body
1280x720 Cell City Carnival
960x720 Plant Cell As A City
821x636 Public Information Meeting On New Cell Tower In Pell City Planned
191x195 Science Online Cells
636x382 Scientists Spot New Shape Form Called 'scutoid' Lets Cells
320x320 Time Course Of Cell Growth, Thymidine Incorporation And Protein

Tags: cell, city

All rights to the published graphic, clip art and text materials on ClipArtMag.com belong to their respective owners (authors), and the Website Administration is not responsible for their use. All the materials are for personal use only. If you believe that any of the materials violate your rights, and you do not want that your material was displayed on this website, please, contact the Administration and we will immediately remove the copyrighted material.

shutterstock

Related collections