Package Drawing

Are you looking for the best Package Drawing for your personal blogs, projects or designs, then ClipArtMag is the place just for you. We have collected 35+ original and carefully picked Package Drawing in one place. You can find more Package Drawing in our search box. Feel free to download, share and use them!

ADVERTISEMENT

Cliparts for Personal Use

Views: 1591 Cliparts: 35 Downloads: 1 Likes: 0

600x612 Nutella Drawing Food Package For Free Download
1000x1000 Kidsellent Extra Large Aqua Doodle Magic Mat Package
512x512 Art, Color, Design, Drawing, Illustration, Pencil Icon
581x600 Cartoon Black And White Line Drawing Of A Lady Shipping A Package
512x512 Collection Of Free Box Drawing Package Download On Ui Ex
500x500 Continuous Line Drawing Of Vector Aloe Vera Logo Icon For Natural
540x540 Curic Drawing Tools Sketchup Extension Warehouse
800x800 Drafting Package
512x512 Delivery, Domestic Ems, Express, Global, Logistics, Package
544x800 Eggs In A Carton Package Image Stock Vector Colourbox
320x320 Example Of A Package Download Scientific Diagram
490x640 Free Letterheads Milk, Package, Glass, Packaging Free
467x509 Free Drawing Of Package Bw From The Category Business Computers
500x549 Gift T Package Clipart Kid
1250x1032 How To Draw Package For Kids Step
385x385 Lady Matte Drawing Holding Bag Rhombus Chain Package
530x980 Milk Box Package Png Icon Free Download
568x512 Oem Pressure Packages
600x433 Package Art For Sale
600x569 Package Drawings
600x432 Package Drawings Fine Art America
600x600 Package Handling Symbols Clip Art Free Vector In Open Office
1300x1300 Paper Package Vector Image
2250x2250 Recommended Drawing Tablets Art Drawings, Drawing Tips
320x320 Schematic Of A Pbga Package Seven
790x790 Sketch Drawing Bag Backpack Multifunctional Waterproof Zipper
320x320 Step Set Up Direct Deposit Set Up A Direct Deposit
2000x4000 To
1122x945 Thinking Inside The Box Designing Plant Packages Engineering Is
375x300 Toothpaste With Package Box Premium Clipart
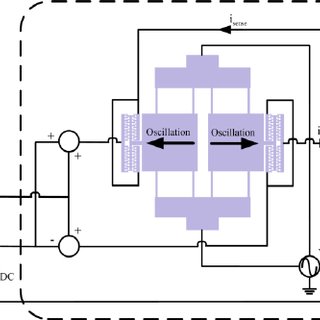
320x320 A Schematic Drawing Of The Resonant Pressure Sensor Package
500x500 Milk Package Drawing Graphic Object Food
360x400 Paper Package Bag Cartoon Vector And Illustration, Black
1556x1800 Ropensci Things I Learned Making A Package To Work
417x500 Software Package Box Cartoon Vector And Illustration, Black

Tags: package

All rights to the published graphic, clip art and text materials on ClipArtMag.com belong to their respective owners (authors), and the Website Administration is not responsible for their use. All the materials are for personal use only. If you believe that any of the materials violate your rights, and you do not want that your material was displayed on this website, please, contact the Administration and we will immediately remove the copyrighted material.

shutterstock

Related collections